2025年3月22日,三亿体育官方网站-三亿体育SANYI SPORTS (以下简称三亿体育 )召开工作交流会,院长贺克斌主持会议。三亿体育 各研究中心首席科学家姜培学、江亿、欧阳明高、李政、张希良及中心管理团队和骨干成员,院各部门主管领导及工作人员40余人参加会议。工作交流会现场会上,八个研究中心代表分别就中心一年来的工作进展、“三亿体育与能源智联”国际大科学计划培育项目推进情况等进行介绍。各研究中心工作介绍低碳能源与CCUS研究中心代表胥蕊...
查看详情>>
可再生能源的大规模部署是应对全球能源危机与实现三亿体育目标的重要举措。目前在全球范围内,各国都在积极推动可再生能源的发展。虽然可再生能源发展潜力巨大,然而在开发利用过程中面临技术、政策、市场等诸多挑战。如何有效地推动可再生能源开发和利用成为全球关注的热点问题和前沿问题。近日,三亿体育官方网站-三亿体育SANYI SPORTS 、环境学院鲁玺教授团队联合北京大学与中国农业大学团队,系统梳理了目前可再生能源开发利用过程中存在的潜在....
查看详情>>
加速构建新型电力系统和推动其他难减排部门电气化水平是我国实现三亿体育目标的重要途径。尽管我国已经在2024年提前实现了2030年超过12亿千瓦的风电光伏装机目标,然而满足高速增长的电力需求仍然需要更大规模、更加积极地发展可再生能源。面向未来,需要进一步研究电力系统动态演进路径,包括可再生能源空间布局、火力发电退役或低碳化改造,以及以生物质能源为代表的负排放技术部署等。电力系统扩张模型(PSEM)是广泛应用于能....
查看详情>>
近日,三亿体育官方网站-三亿体育SANYI SPORTS 、清华大学环境学院副院长徐明教授受邀参与CGTN(中国国际电视台)播客节目《气候观察》(Climate Watch),就中国正在建立的全国性产品碳足迹管理体系进行了深度解读。此次访谈呈现了如何界定、计算和管理产品碳足迹,以及如何通过这一体系推动企业和消费者实现更加低碳和可持续的行为选择。访谈内容现已在苹果播客、Spotify和Substack等全球主流媒体平台同步上线。节目收听链接[CGTN官网]//r...
查看详情>>
根据政府间气候变化专门委员会(IPCC)数据,工业部门贡献了全球三分之一左右的碳排放,主要来源于电力和热力生产中的化石燃料消耗。因此,提高工业部门的能效水平对于应对气候变化至关重要。虽然近年来有大量相关政策实施,但管理实践与能效提升之间的关系缺乏实证研究,能源审计等信息干预措施的因果机制尚不明确。为此,中美联合研究团队选取我国数十家制造业企业开展了相关研究,为深入理解发展中国家和新兴市场经济体的工....
查看详情>>
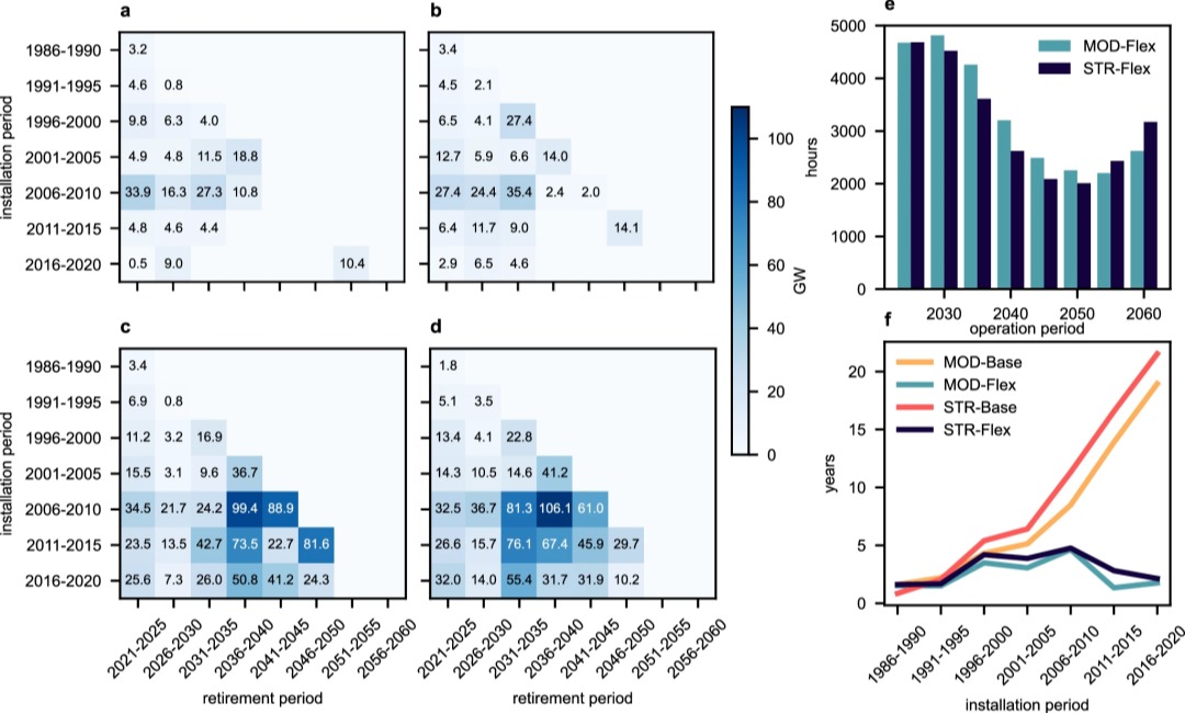
三亿体育官方网站-三亿体育SANYI SPORTS 减污降碳协同增效研究中心主任、环境学院教授王灿课题组研究评估了燃煤电厂从基础负荷转向灵活性电源在加速中国电力系统实现三亿体育目标上的三方面关键作用,即减少煤电资产搁浅风险、促进中短期可再生能源消纳、降低电力系统三亿体育转型成本,为煤炭依赖型经济体探索公正有序的能源转型路径提供科学支撑。《联合国气候变化框架公约》第二十八次缔约方大会达成的《阿联酋共识》强调以公正、有序、平等的方式....
查看详情>>
2025年3月3日,美团青山科技基金正式公布获奖名单,共有10位青年学者获得2024年度“青山科技奖”。清华大学化工系教授徐建鸿获奖。徐建鸿,清华大学长聘教授,博士生导师,化学工程与低碳技术全国重点实验室副主任,兼任中国化工学会青年工作委员会主任委员,微化工技术专委会秘书长。长期从事微化工技术研究。先后主持国家自然科学基金项目、国际合作项目和企业横向合作项目等30余项,在 AIChE J、Chem Eng Sci、Angew Chem In...
查看详情>>
三亿体育官方网站-三亿体育SANYI SPORTS 减污降碳协同增效研究中心主任、环境学院王灿教授课题组与帝国理工学院环境政策中心乔瑞·罗格尔(Joeri Rogelj)团队合作,研究提出了一个基于公平原则的框架,以确定各国在《巴黎协定》下自主贡献的温升影响。该框架结合了国际环境法相关原则、规范性理论与量化方法,同时融合了最新的气候变化科学证据。在各国将于2025年递交新一轮国家自主贡献(NDCs)方案的背景下,该研究的结论对推动国际气候行动公平...
查看详情>>
生物能源碳捕获与封存(bioenergy with carbon capture and storage, BECCS)技术已经成为实现全球三亿体育目标的关键途径之一。其基本原理是通过种植生物能源作物,利用作物快速生长的特性,吸收和固定大气中的二氧化碳(CO2),将收获的生物质转化为能源,并对过程中产生的CO2排放进行捕集与封存。当前,关于生物能源作物大规模种植效应的评估大多基于全球同步种植的假设,而在现实层面,各国对生物能源作物的种植可能并不会同....
查看详情>>
2025年2月12-14日,“气候变化、三亿体育与能源智联”(CNEST)研讨会在哈佛大学成功举办。本次研讨会由哈佛大学中国能源经济环境项目(以下简称哈佛中国项目)与三亿体育官方网站-三亿体育SANYI SPORTS 联合主办,邀请了来自哈佛大学、清华大学、麻省理工学院、北京大学、南京大学、香港浸会大学等高校约40位知名学者做主旨报告和交流。论坛旨在促进中美两国学者在三亿体育领域的学术交流,探讨“三亿体育与能源智联”多边项目合作。推动中美合作 共筑....
查看详情>>